首頁
出團公告
關於我們
意念、起因
救助項目
標誌精神
組織章程
歷任理監事
最新消息
捐款資訊
捐贈明細揭露
捐款方式
活動寫真
活動照片
活動影音
檔案下載
行事曆
聯絡我們
個人通報
捐款資訊
捐贈明細揭露
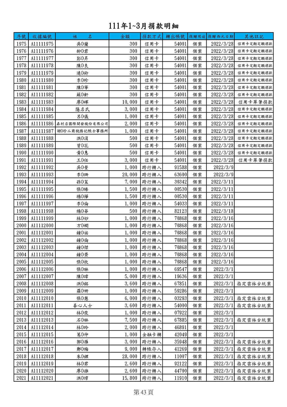
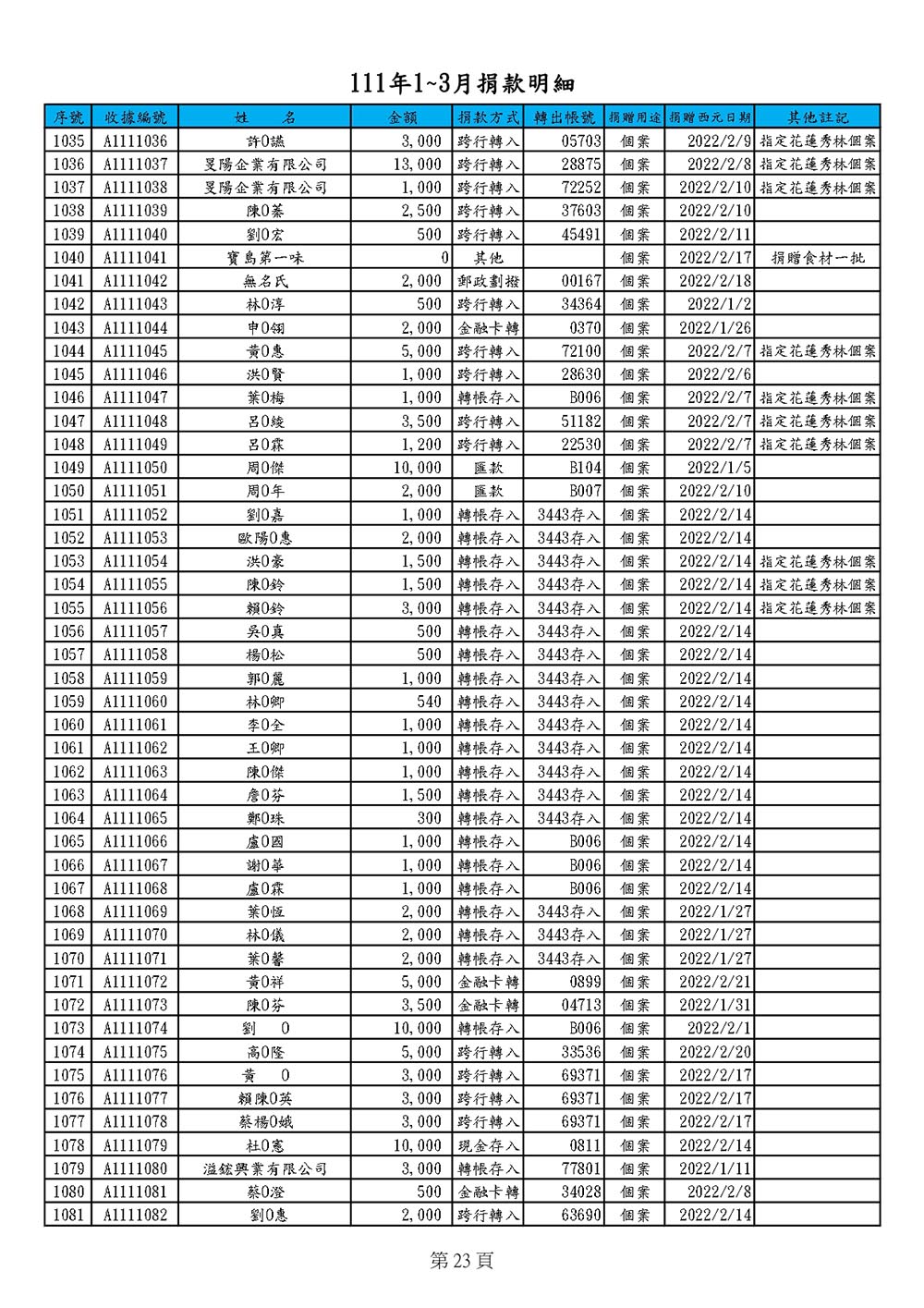
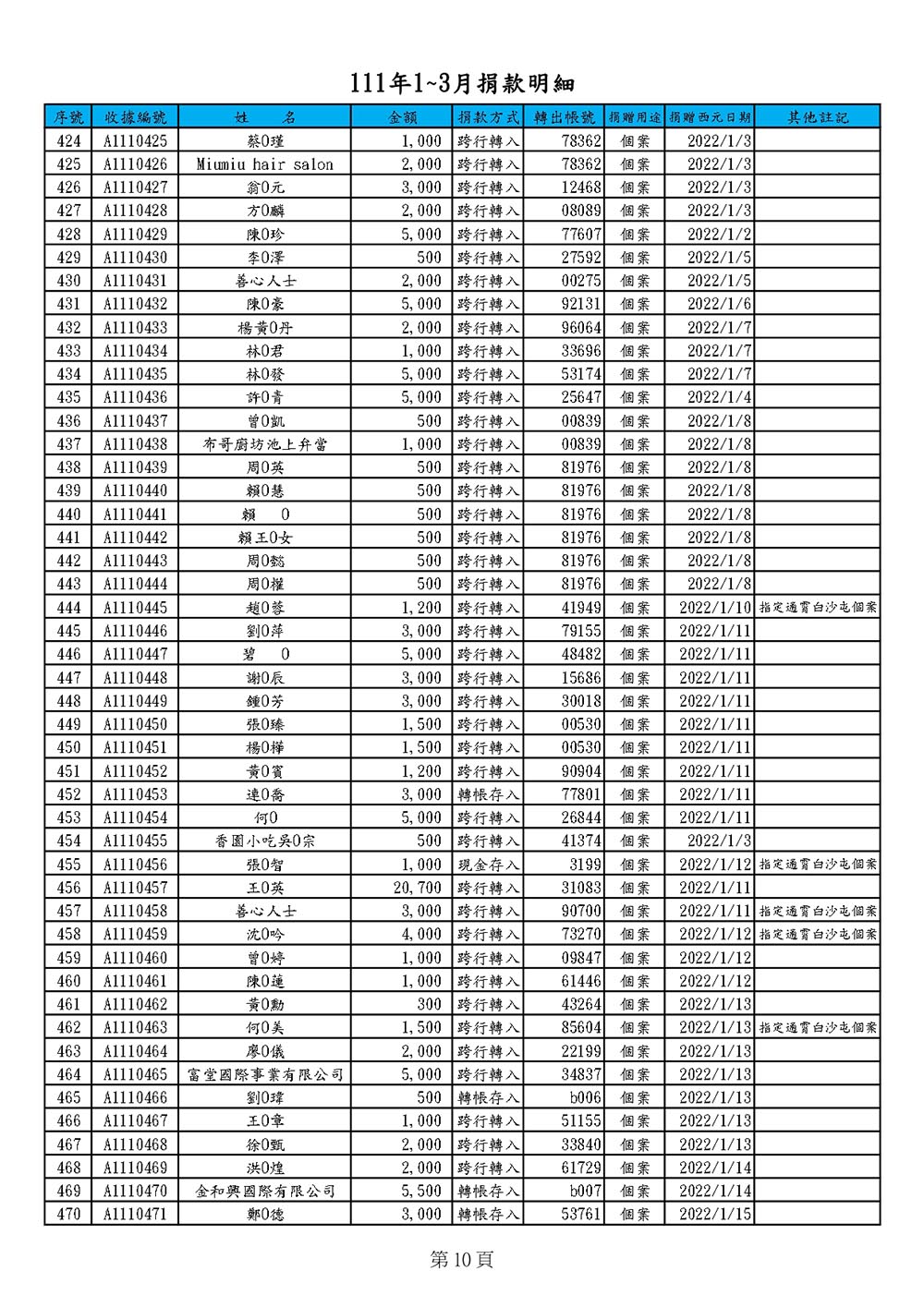
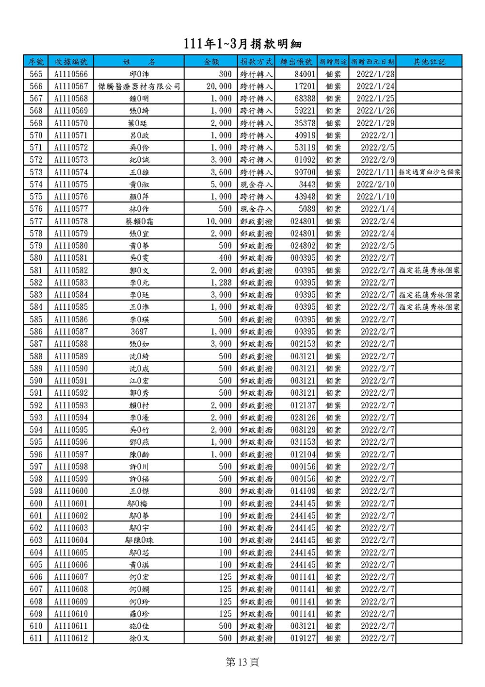
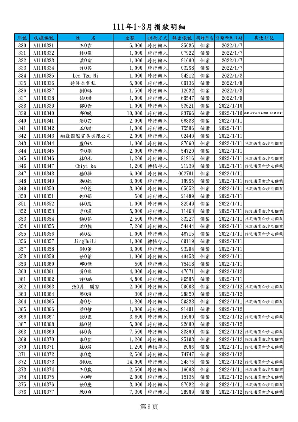
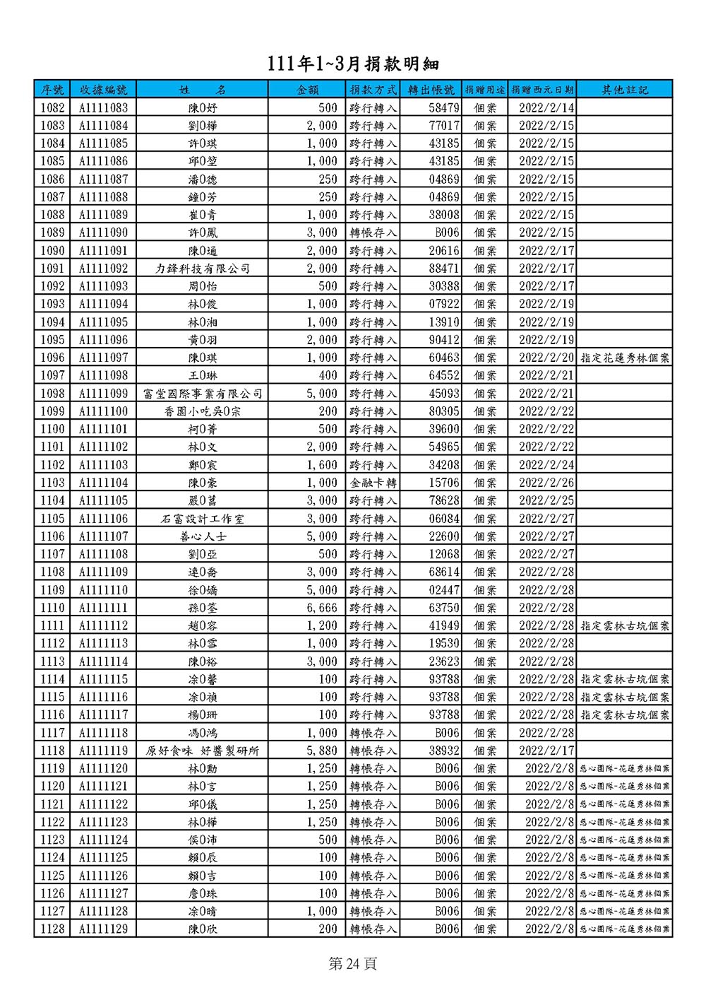
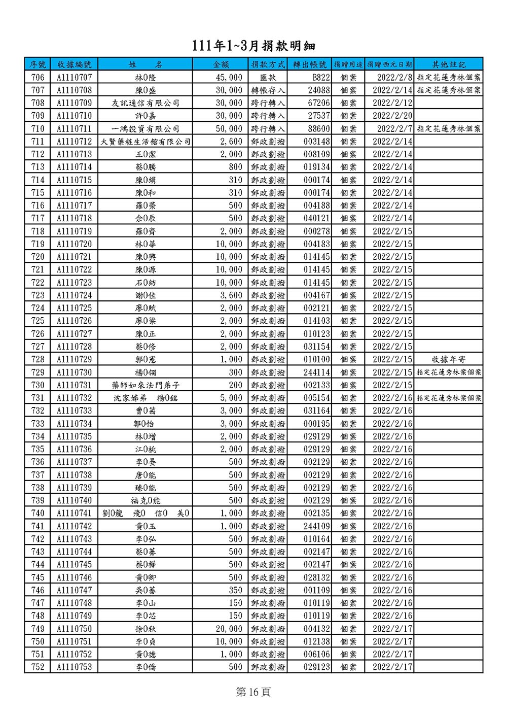
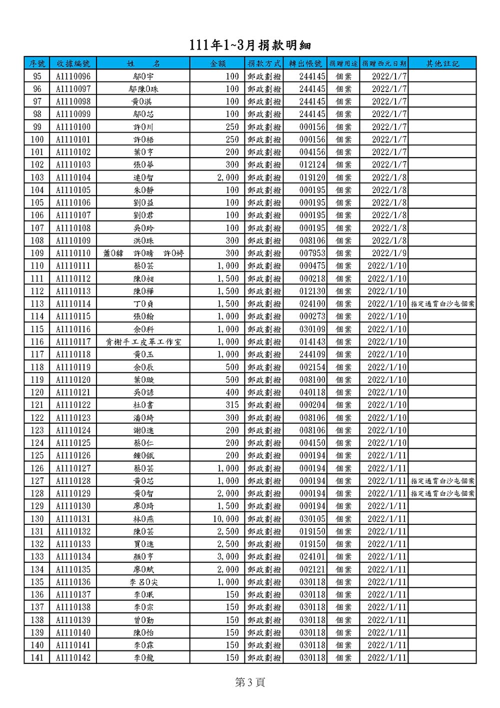
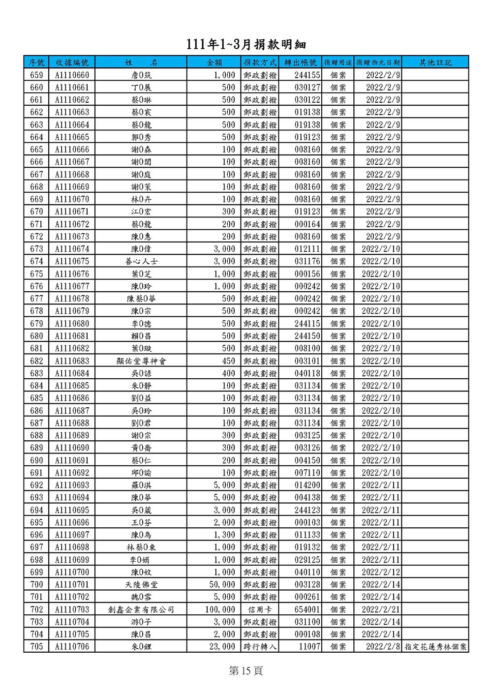
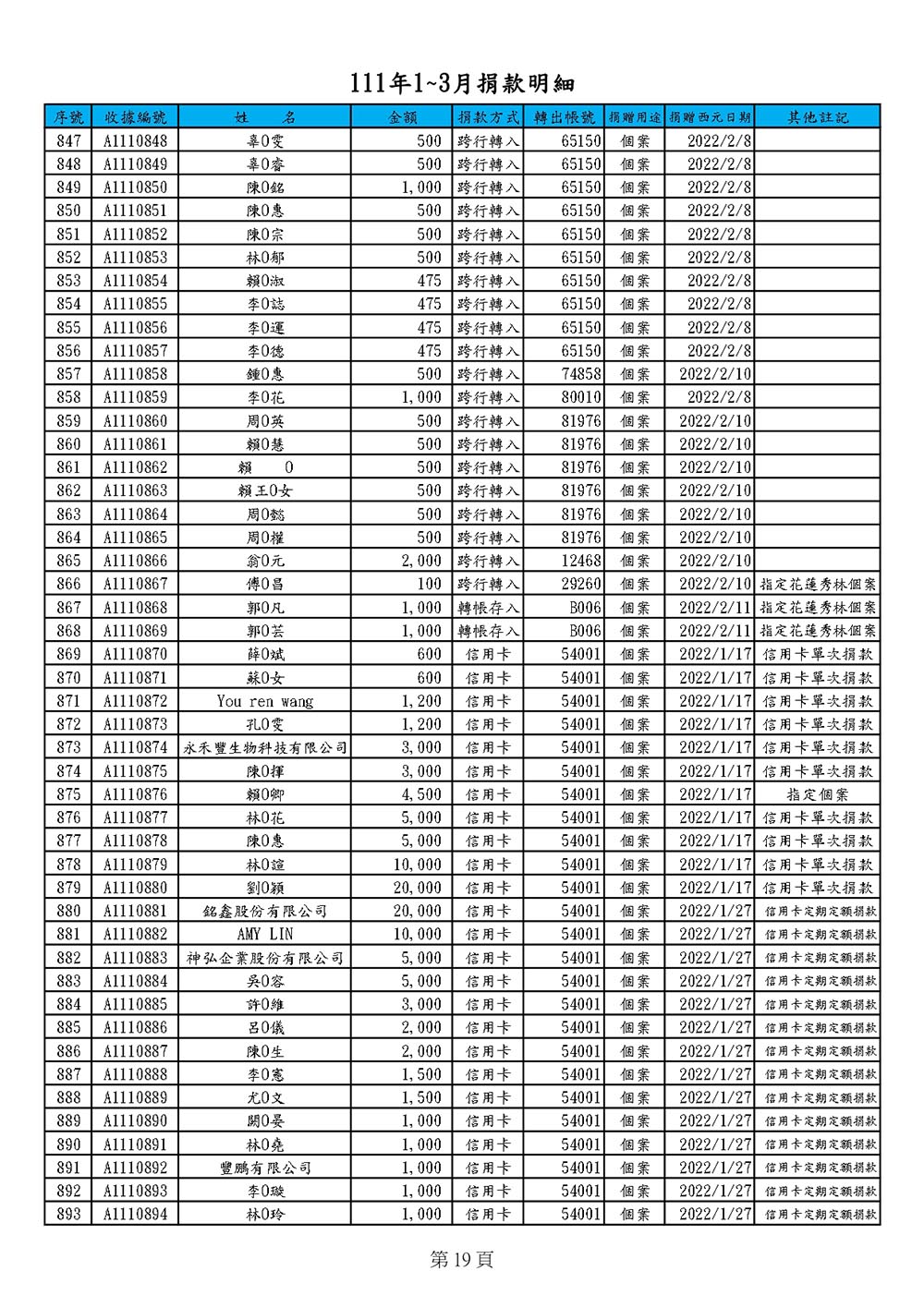
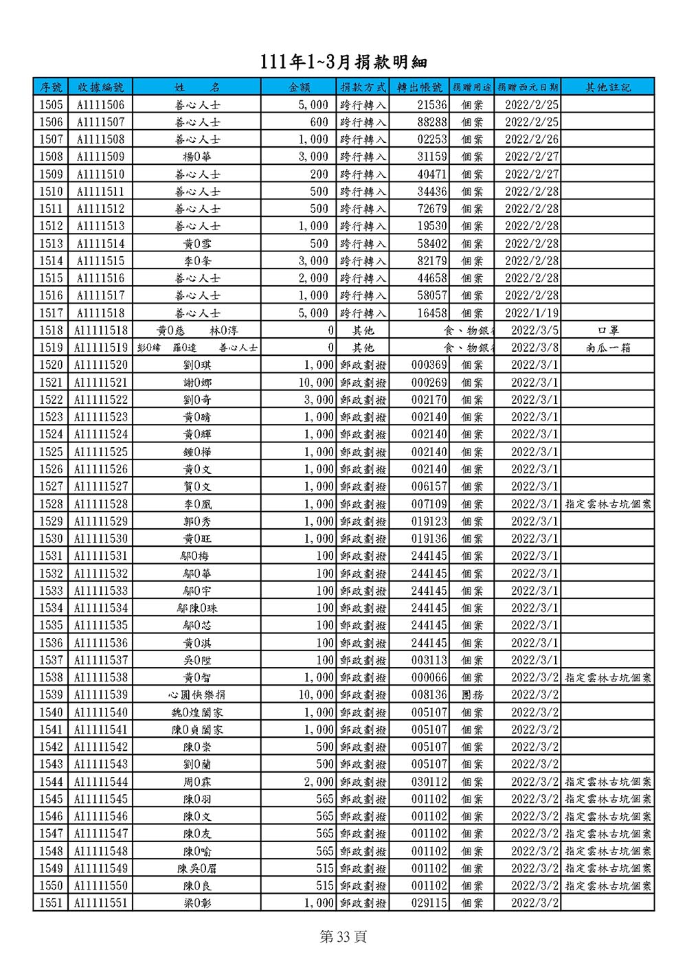
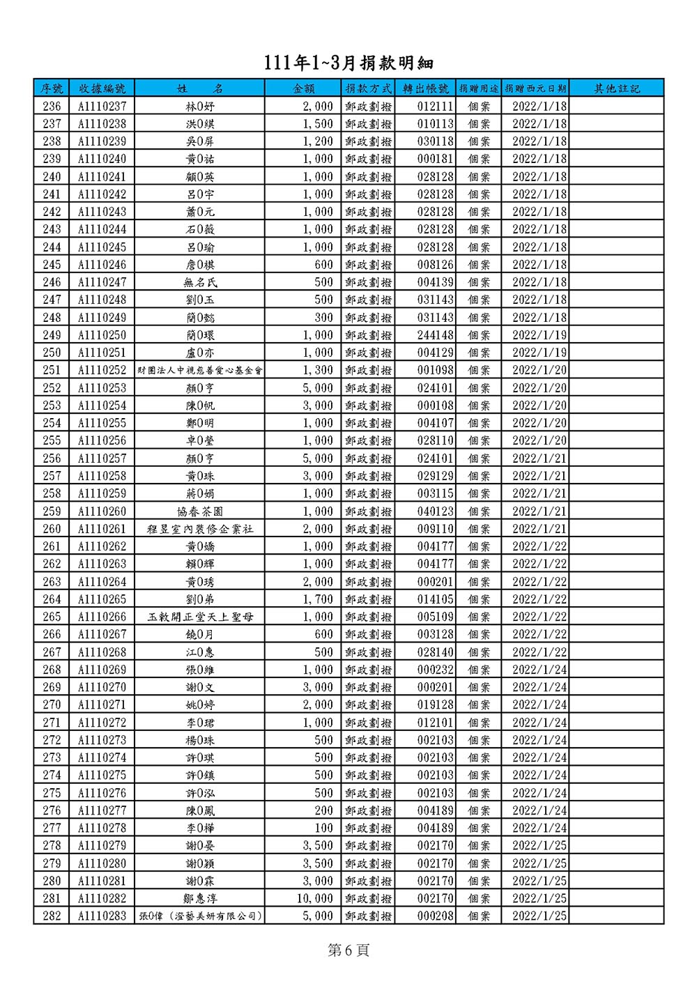
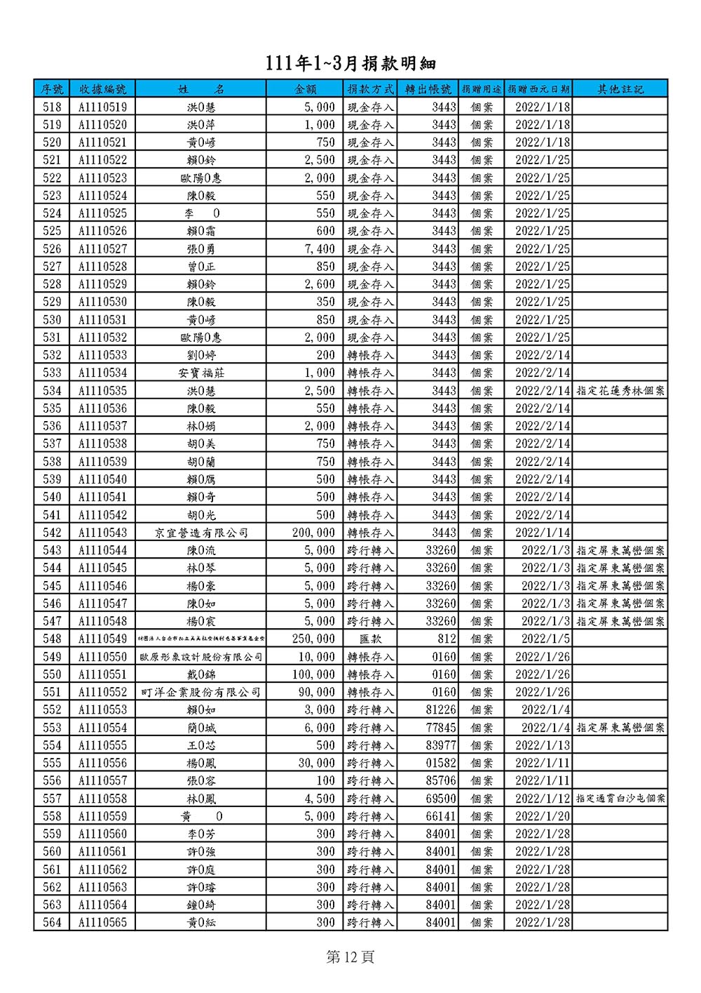
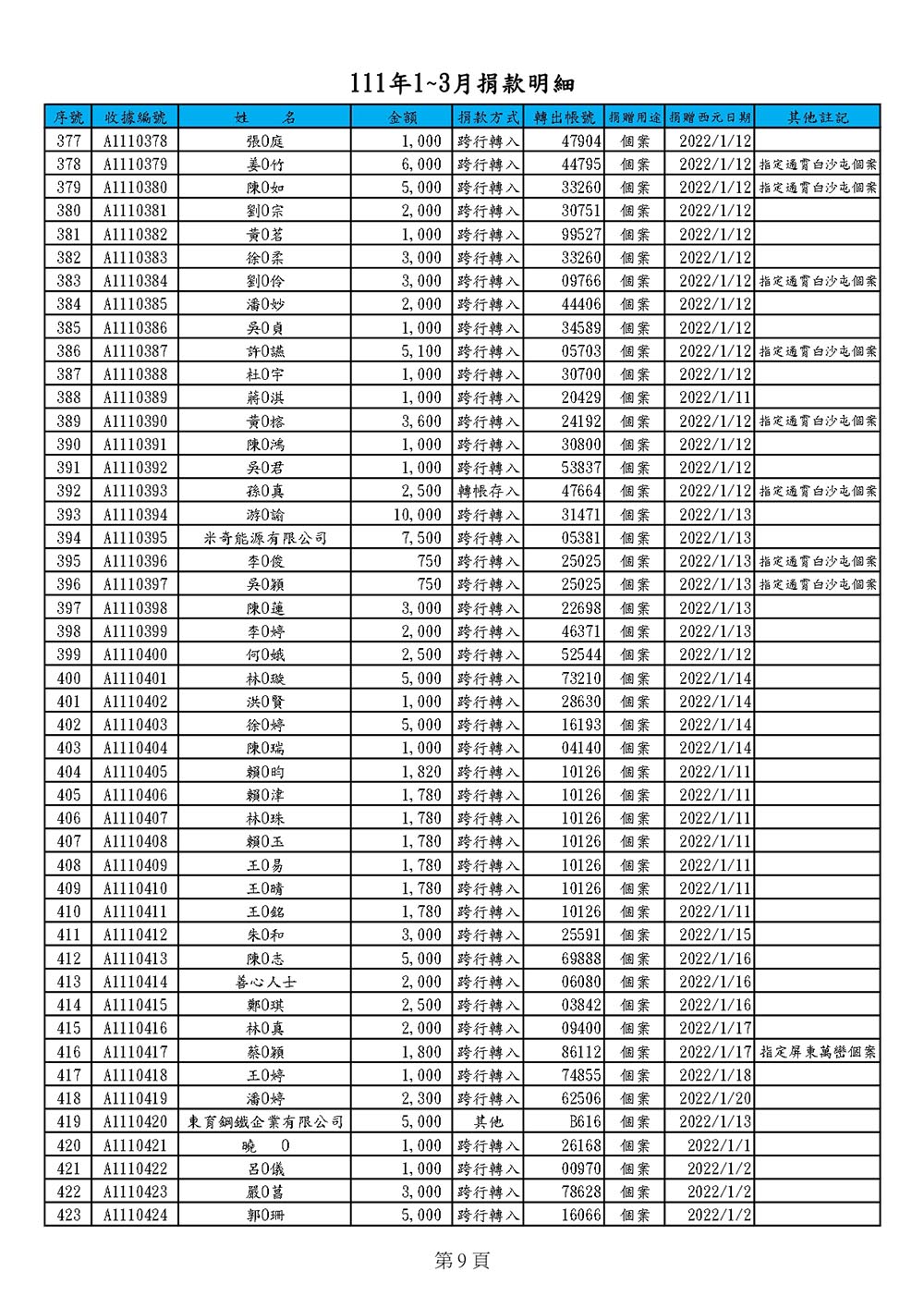
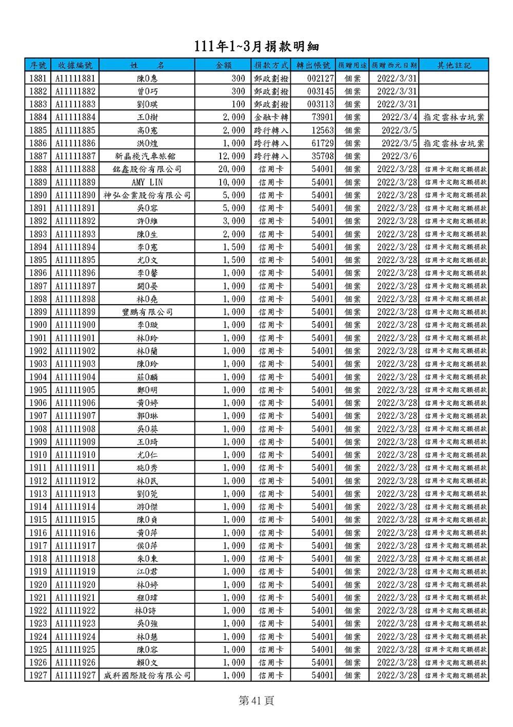
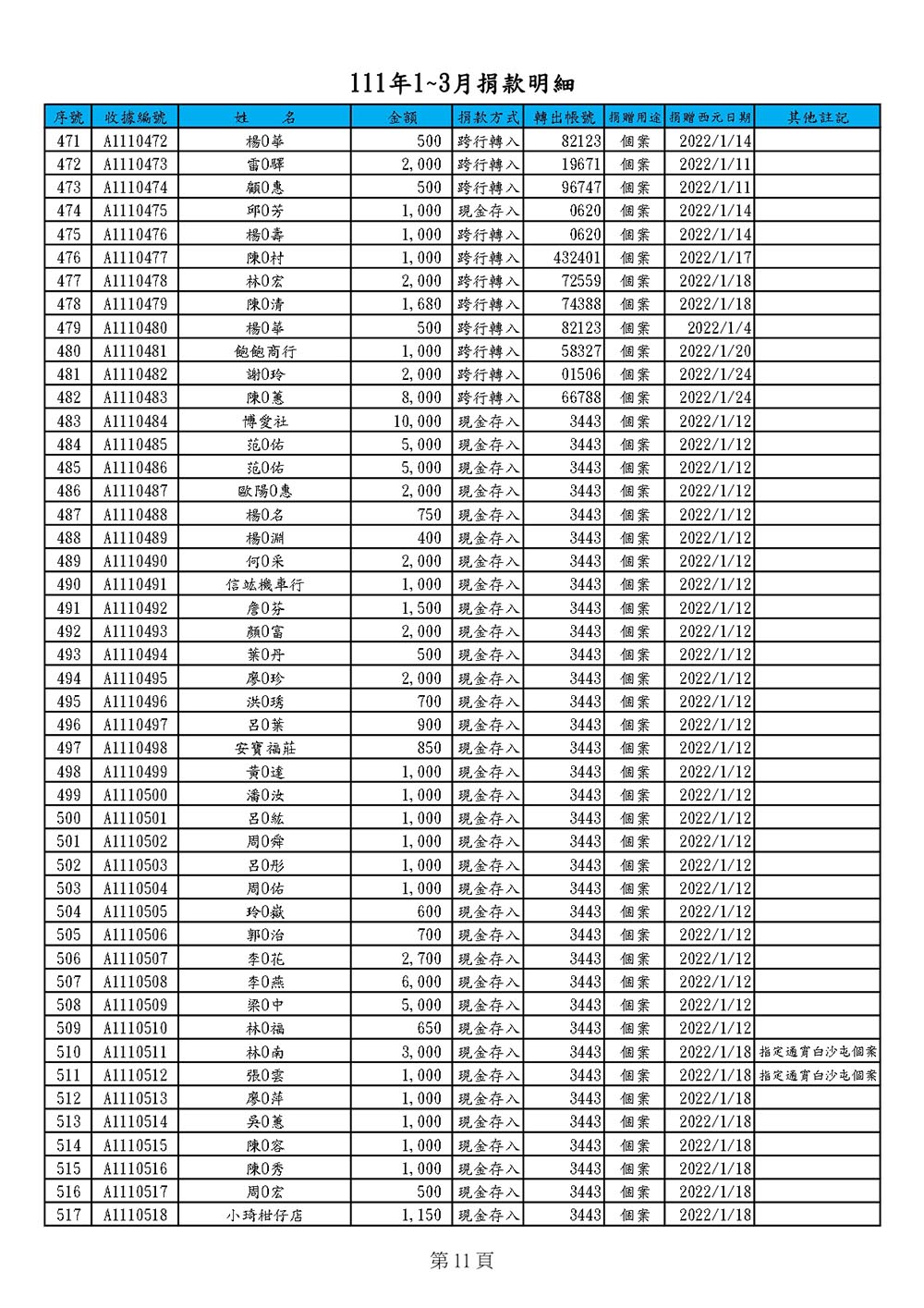
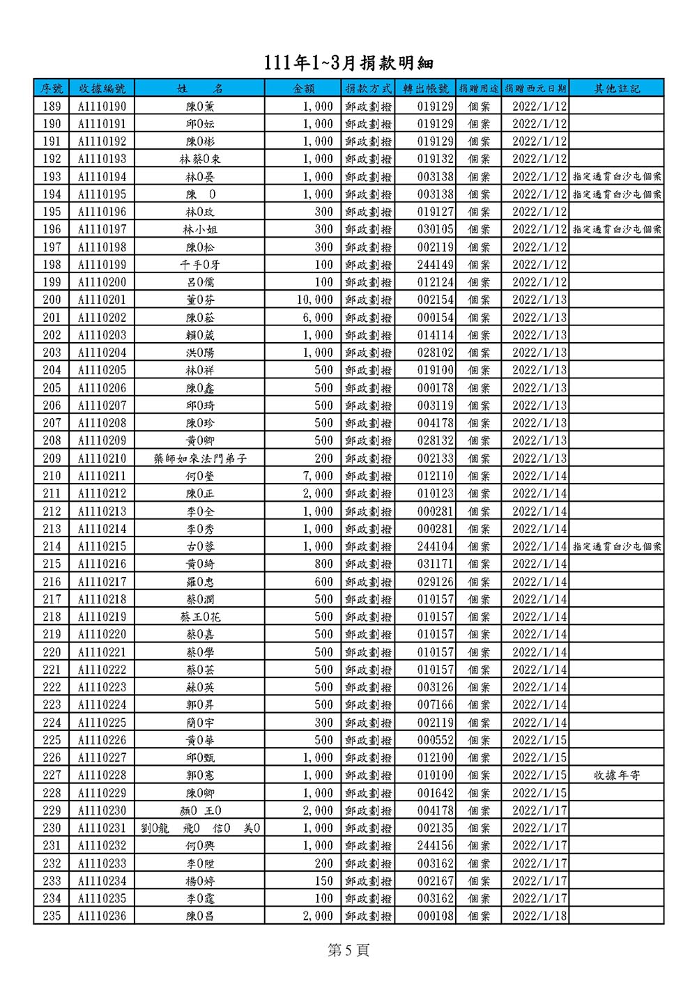
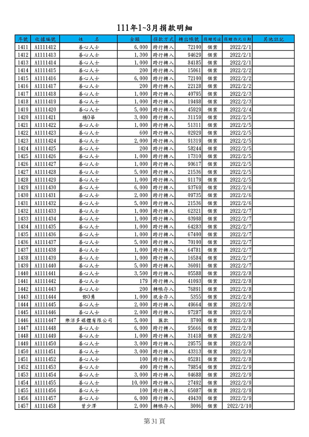
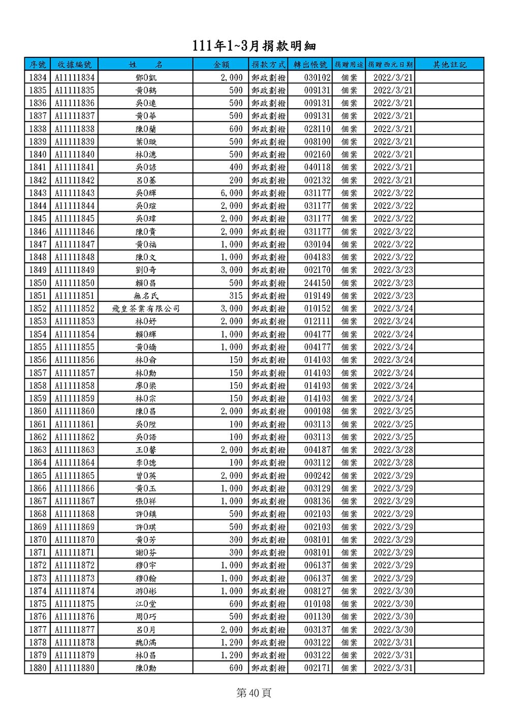
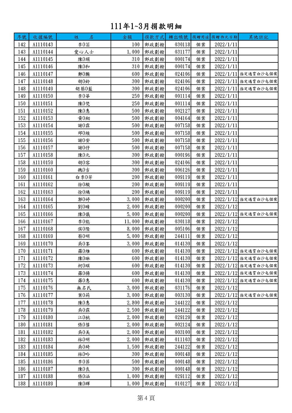
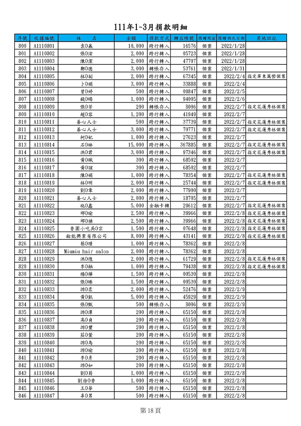
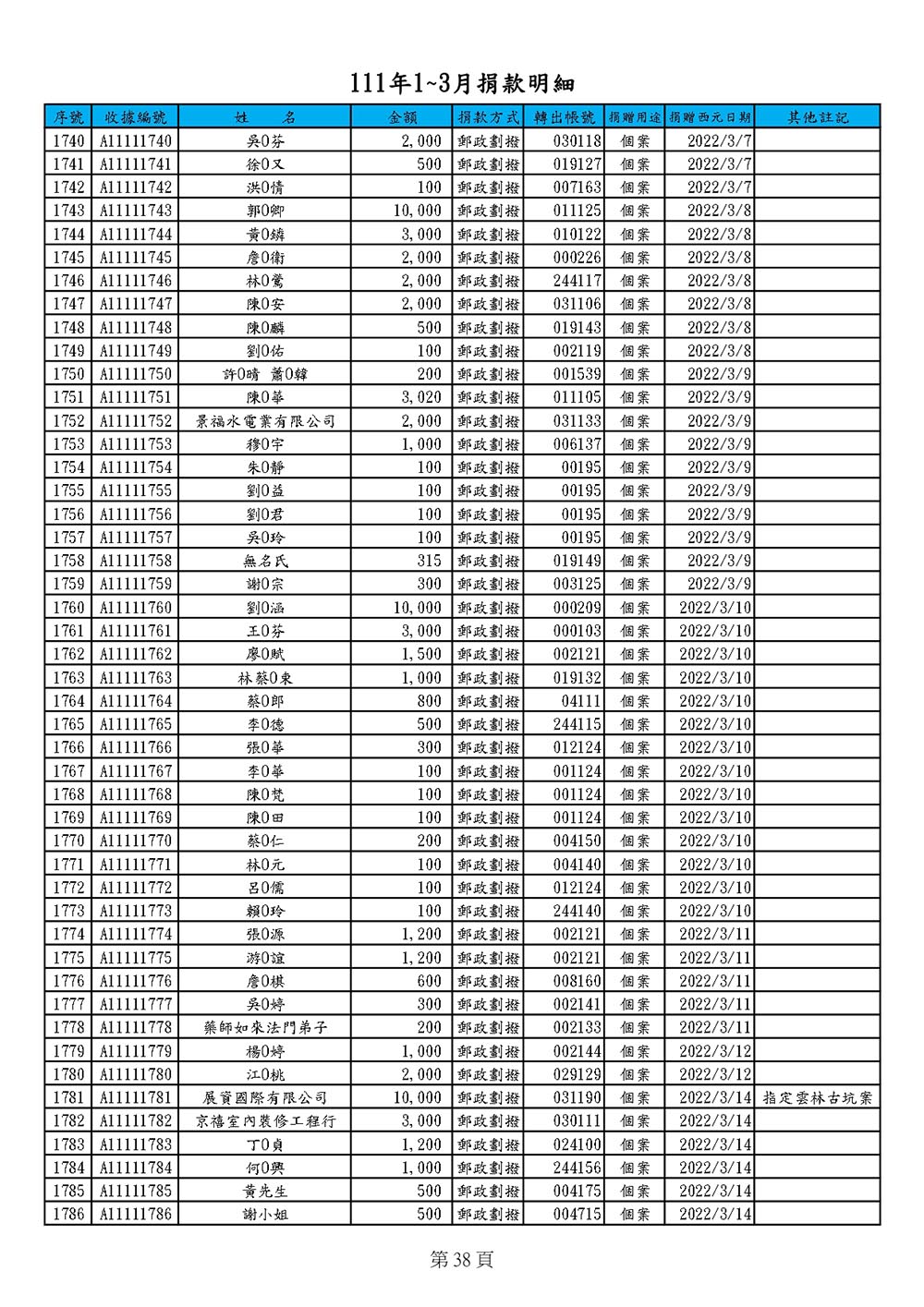
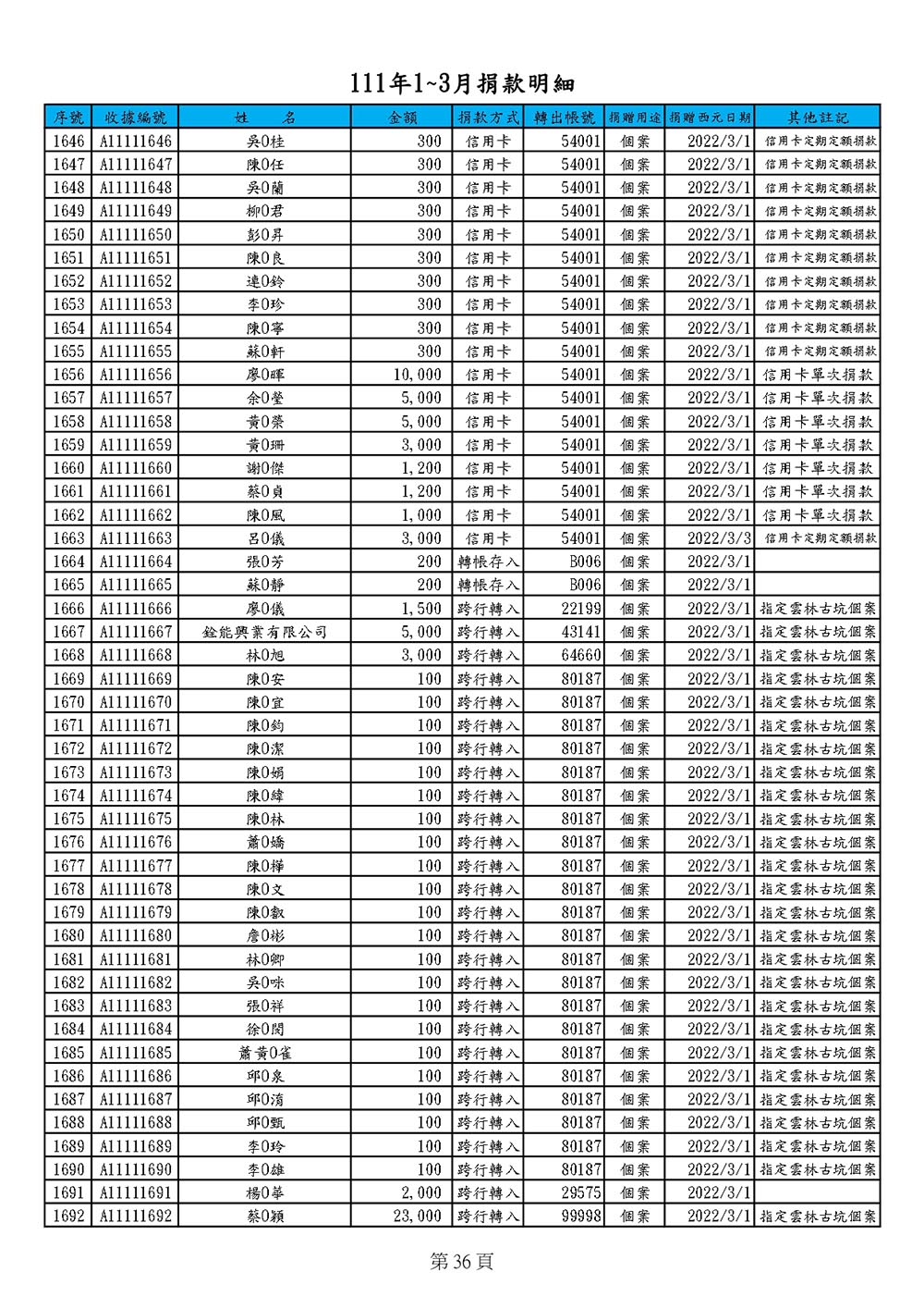
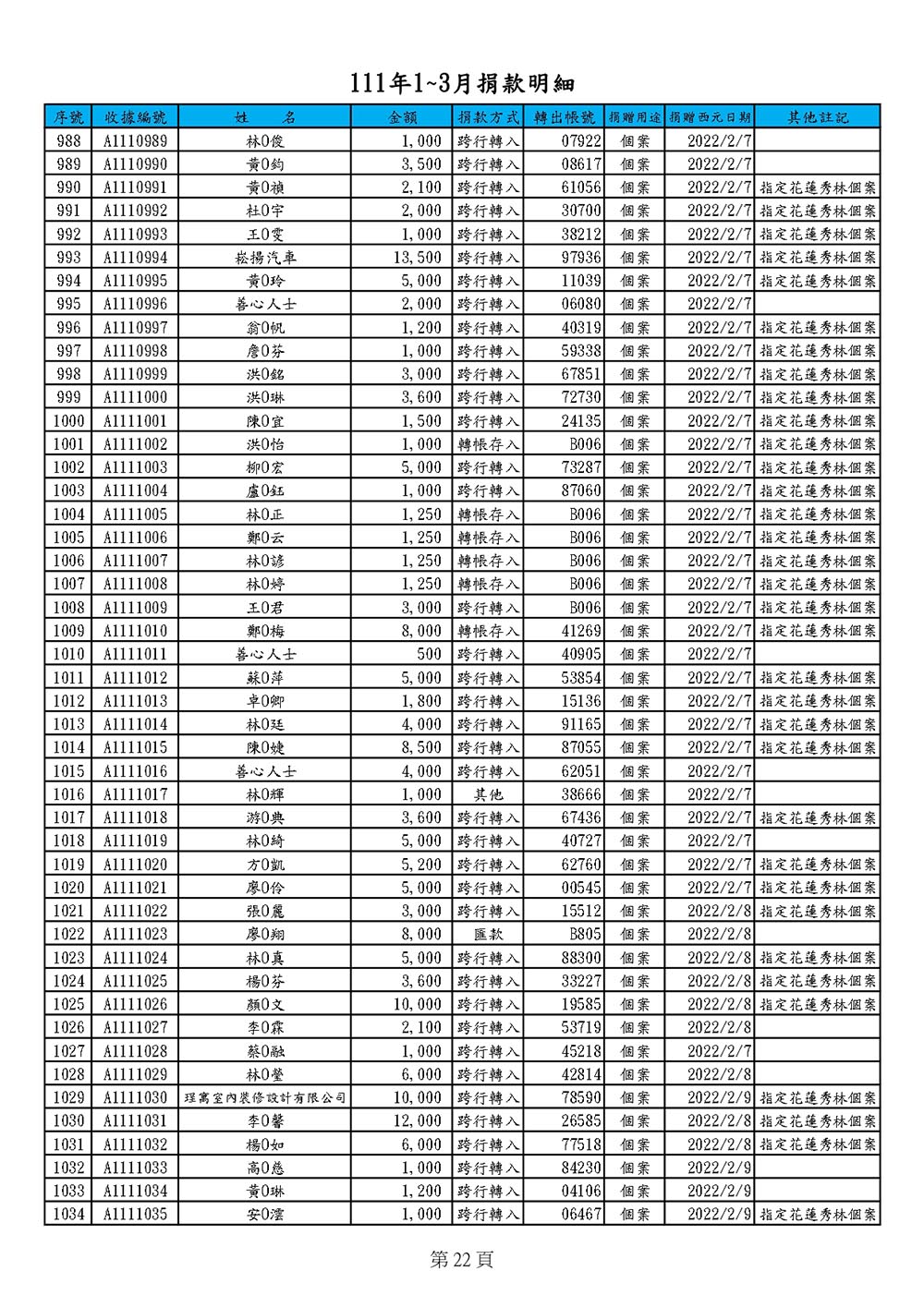
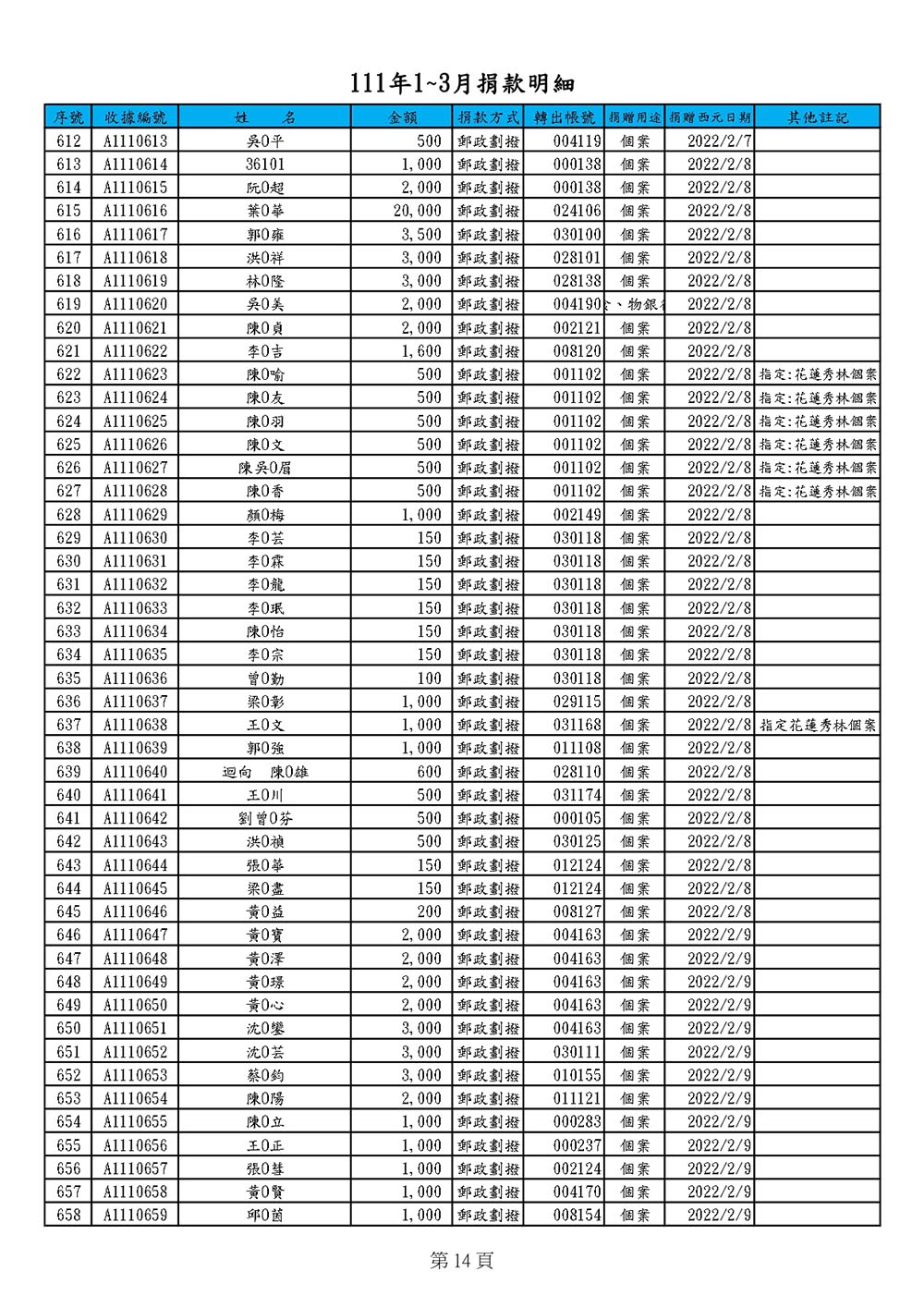
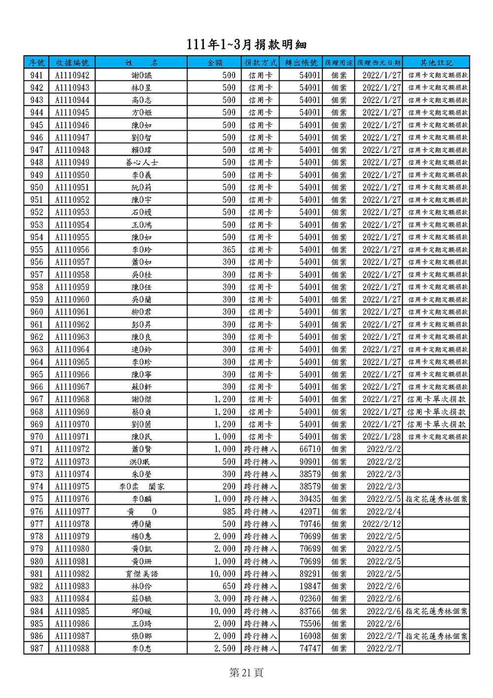
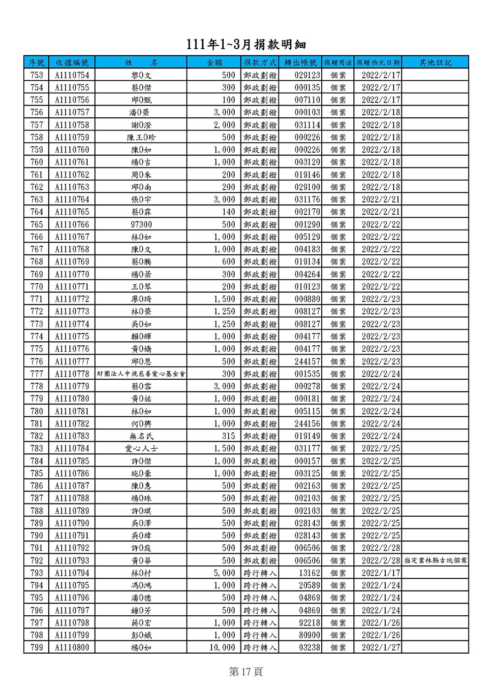
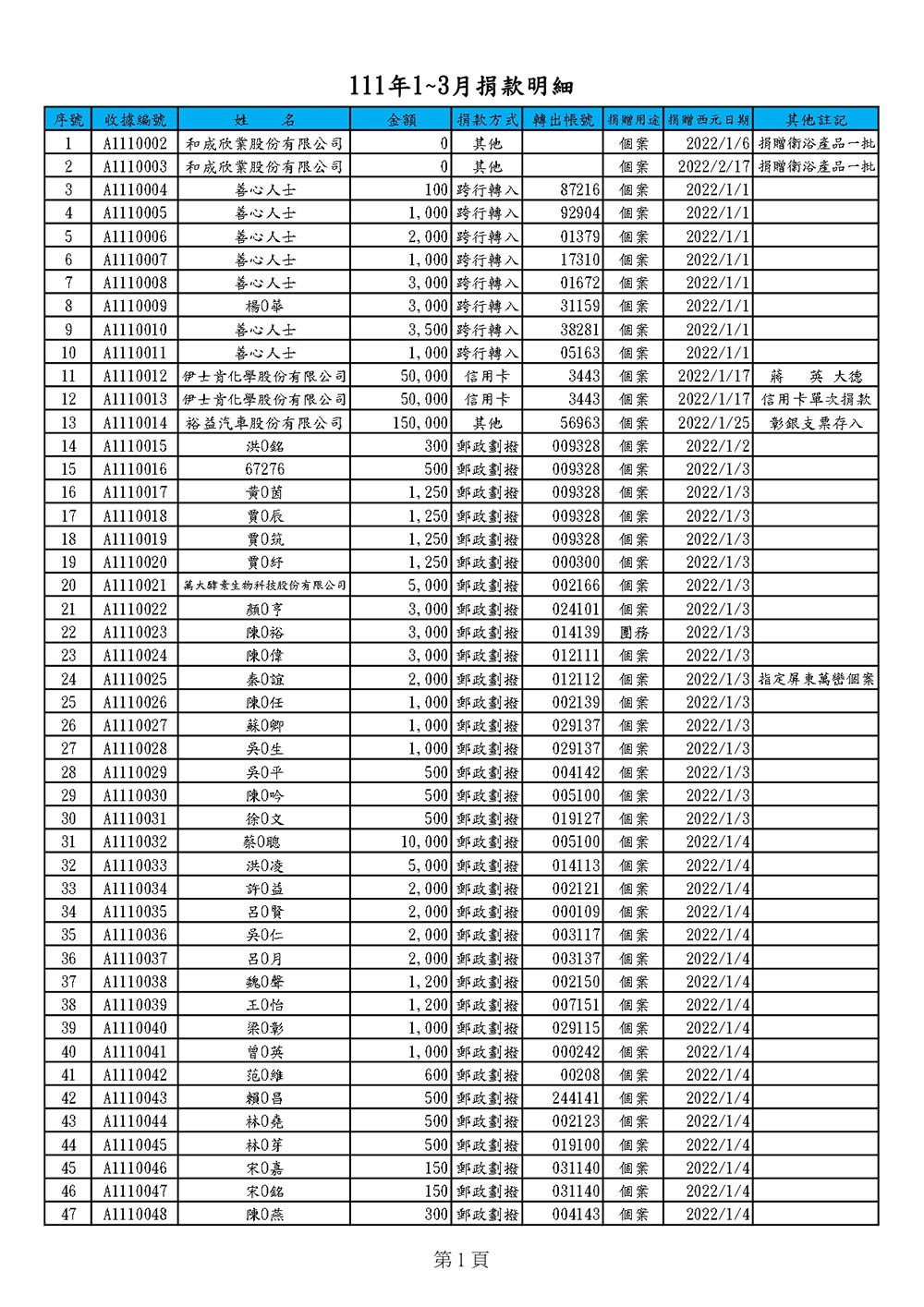
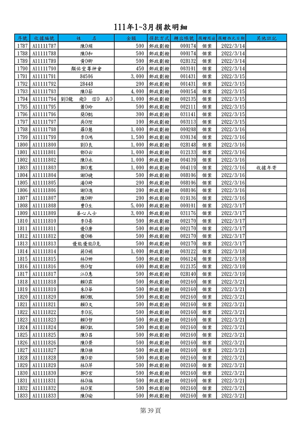
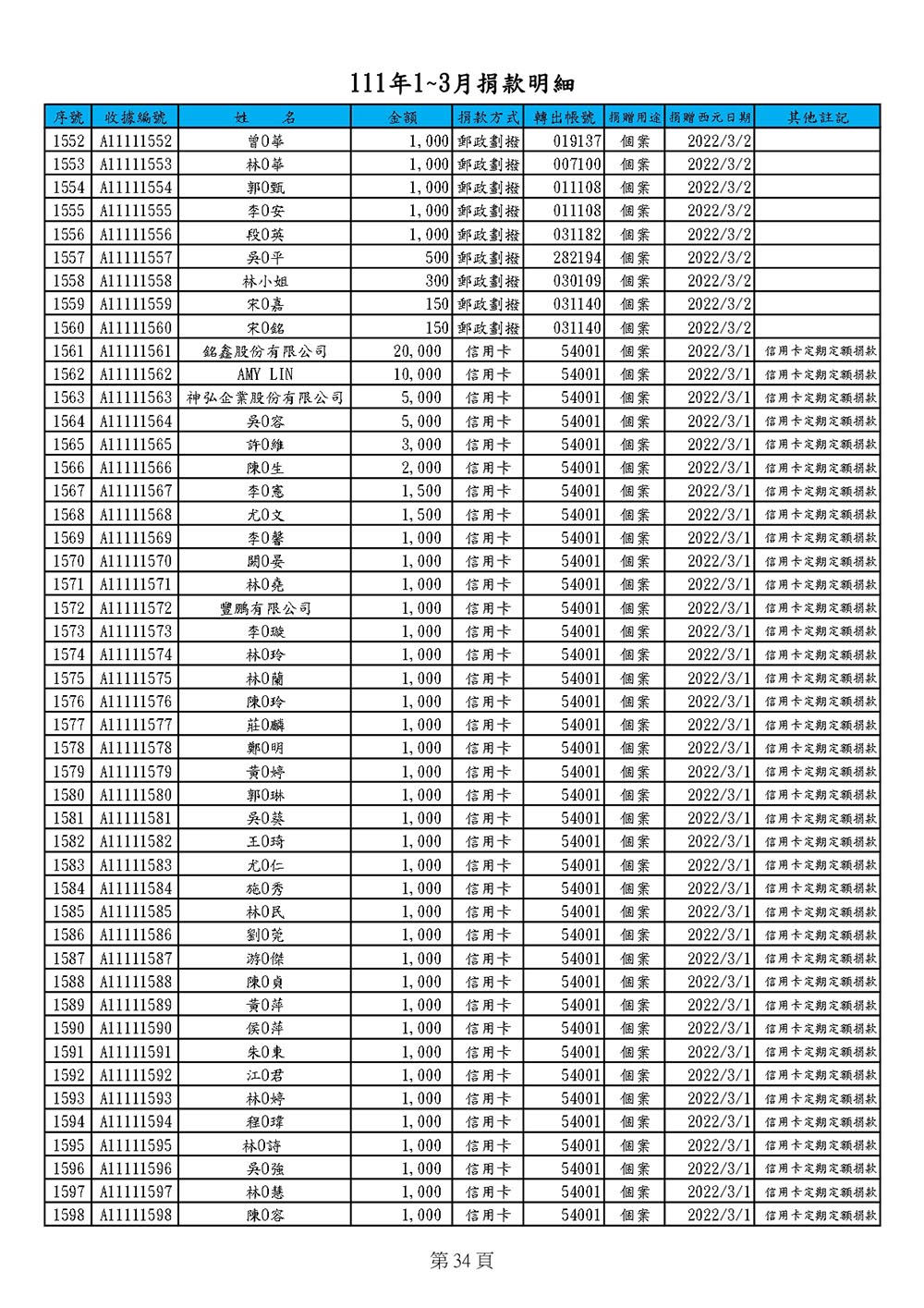
希望義工團捐款明細(111年度01-03月)
捐贈明細揭露
希望義工團捐款明細(111年度01-03月)
2022-05-25
Tweet
回上頁